Higher creatine intake is associated with lower cancer risk ✅
Data from over 25,000 participants.
The association between dietary creatine intake and cancer in U.S. adults: insights from NHANES 2007–2018
Study Details
This new study examined data from a cohort of over 25,000 participants to establish associations between creatine intake and cancer risk 📚
Here is what they found ⬇️
Key Findings
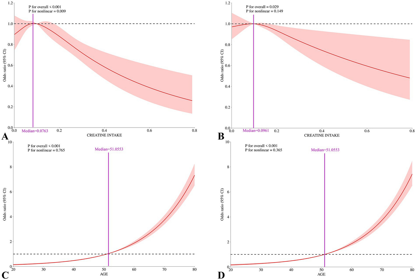
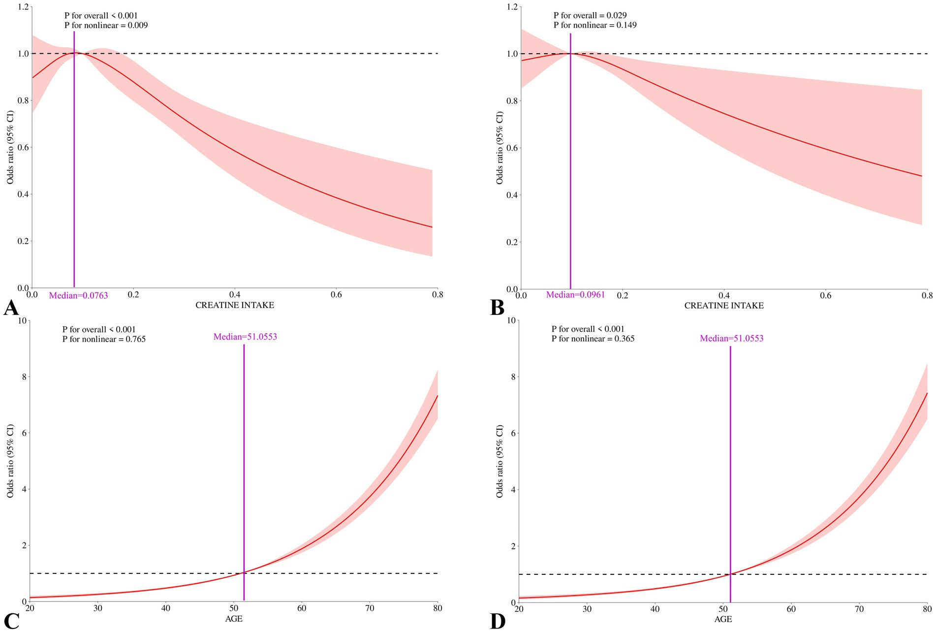
Results showed a significant negative association between creatine intake and cancer risk 🔍
(the higher creatine intake = the lower the cancer risk)
For each standard deviation increase in daily creatine intake (+0.09 g) cancer risk declined by 5% 📉
This association was strongest in…
🙋♂️ Males
⚖️ Overweight participants
Further analysis also showed that higher dietary creatine intake was inversely associated with cancer risk in older individuals 👴🧓
Conclusion
Higher dietary creatine intakes may reduce cancer risk ✅
Regular inclusion of high creatine content foods (e.g. beef, salmon, tuna, pork) and/or supplementation is likely a protective strategy for reducing cancer risk 🥩
Reference
https://www.frontiersin.org/journals/nutrition/articles/10.3389/fnut.2024.1460057/full
Performance Nutrition Digest is powered by Healthspan Elite ⚡️
Healthspan Elite is a science-led sports nutrition range developed in collaboration with leading experts to support athletic performance, recovery, and health.
Use code: TCDIGEST25 for 25% off at https://www.healthspanelite.co.uk/ 💪





