Higher intake of high-fat cheese is associated with lower risk of dementia 🧀🧠
A festive finding!
High- and Low-Fat Dairy Consumption and Long-Term Risk of Dementia
Study Details
This new prospective study analysed data from a 25 year period and over 27,000 individuals to assess the relationship between 🔍
🥛 Dairy Intake ➡️ Dementia Risk 🧠
Here are the key findings ⬇️
Key Findings
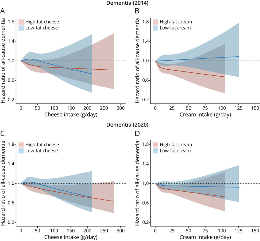
Consumption of high-fat (>20% fat) cheese (≥50 g/day) was associated with…
reduced risk of all-cause dementia ✅
…compared to lower intakes (<15 g/day).
Compared with no consumption, individuals consuming ≥20 g/day of high-fat cream (>30% fat)…
…had a 16% lower risk of all-cause dementia ✅
High-fat cream consumption was also inversely associated with the risk of Alzheimer’s Disease and Vascular Dementia 🥣
There were no associations with all cause dementia for…
❎ Low-fat cheese
❎ Low-fat cream
❎ Milk (high-fat and low-fat)
❎ Fermented milk (high-fat and low-fat)
❎ Butter
Conclusion
Fat content and other nutrients (e.g. vitamin K2) may influence this positive finding for high-fat dairy products 🔬
This is an associational study though so concrete takeaways are limited‼️
Albeit a nice study to read at this time of year 🧀🎄
Reference
https://www.neurology.org/doi/full/10.1212/WNL.0000000000214343
Performance Nutrition Digest is powered by Healthspan Elite ⚡️
Healthspan Elite is a science-led sports nutrition range developed in collaboration with leading experts to support athletic performance, recovery, and health.
Use code: TCDIGEST25 for 25% off at https://www.healthspanelite.co.uk/ 💪





