Low dose caffeine pouches - a novel performance strategy? ☕️
A new form of caffeine for athletes.
The Effect of Novel Low-Dose Caffeine Products on Physical Performance
Study Details
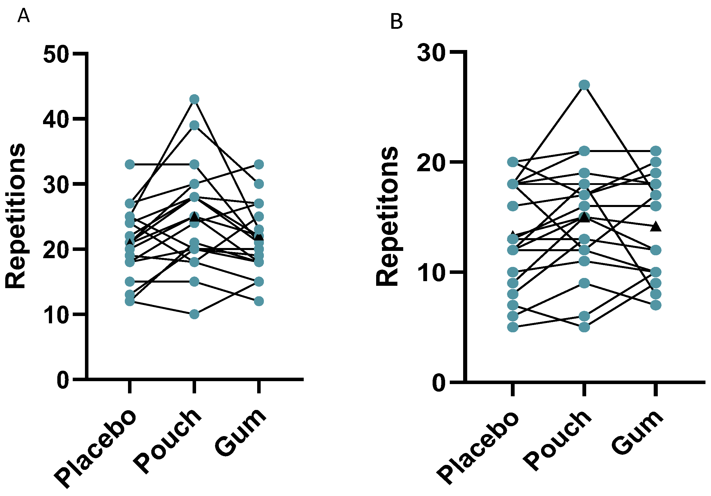
This new study recruited 19 active adults to complete 3 x physical performance testing sessions after taking either…
1️⃣ 80 mg caffeine pouch (similar to snus)
2️⃣ 80 mg caffeine gum
3️⃣ Placebo gum
💊 The caffeine dose was approximately 1.1 mg/kg
The sessions included tests at 60% 1 RM single leg press and shoulder press to exhaustion 🏋️
Key Findings
No significance was observed among conditions for physical tests ❌
However, effect sizes identified…
👉 Moderate effects for the pouch vs placebo
👉 Small effects for the pouch vs gum
There were also significant differences observed for RPE…
…with the pouch reducing RPE for shoulder press and leg press to failure exercises 📉
Conclusion
Low dose caffeine can enhance have positive effects on strength endurance, which is likely driven through central (brain) mechanisms 🧠✅
Reference
https://www.mdpi.com/2072-6643/18/5/791
Performance Nutrition Digest is powered by Healthspan Elite ⚡️
Healthspan Elite is a science-led sports nutrition range developed in collaboration with leading experts to support athletic performance, recovery, and health.
Use code: TCDIGEST25 for 25% off at https://www.healthspanelite.co.uk/ 💪





