Periodising carbohydrate intake improved metabolic flexibility and running economy ποΈ
Does periodisation = performance?
Periodized carbohydrate intake influences metabolic flexibility and indices of running economy during endurance training in recreationally active males
Study Details
This new study recruited 24 runners who were randomly assigned to either aβ¦
π Periodised Diet (PER: 4 weeks β€ 50g carbs per day then 4 weeks high carb)
π₯ Low Carb Diet (LCHF: 8 weeks β€ 50g carbs per day)
π High Carb Diet (CHO: 8 weeks high carb)
The high carb aspects of the interventions were 50 - 60% of energy intake π
πββοΈ Training during the interventions were a programmed and periodised 5 running sessions per week
Key Findings
After 4-weeks, fat oxidation increased and carb oxidation decreased at lactate threshold in the PER and LCHF groups ππ
Carb oxidation then significantly increased alongside increased carb intake in the PER group during weeks 5 - 8 π₯π
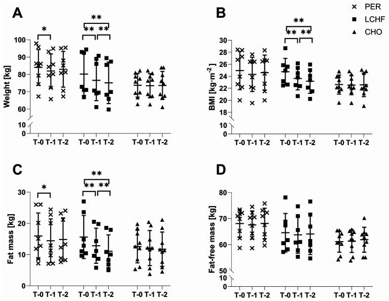
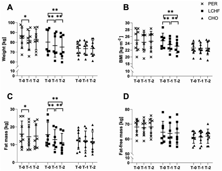
Both PER and LCHF also lost significant weight and fat mass after 4-weeks βοΈ
Weight and fat mass continued to drop in the LCHF group during weeks 5 - 8 π
Across the whole intervention, running economy at lactate threshold improved in the PER group only π
All groups improved running performance, but there were no significant differences between groups β
Conclusion
Periodising carbohydrate intake alongside endurance training can enhance running economy π
But longer periods of time, or within-weekly periodisation of carbs may be required to improve running performance β
Reference
https://pubmed.ncbi.nlm.nih.gov/41624183/
Performance Nutrition Digest is powered by Healthspan Elite β‘οΈ
Healthspan Elite is a science-led sports nutrition range developed in collaboration with leading experts to support athletic performance, recovery, and health.
Use code: TCDIGEST25 for 25% off at https://www.healthspanelite.co.uk/ πͺ






