Probiotics can support recovery and sleep after a marathon 😴
A recovery strategy for endurance?
Probiotic Supplementation Can Alter Inflammation Parameters and Self-Reported Sleep After a Marathon: A Randomized, Double-Blind, Placebo-Controlled Study
Study Details
This new study recruited 27 male marathon runners who were assigned to take either…
1️⃣ Probiotics (20 billion CFU) + 5 g maltodextrin
2️⃣ Placebo (5 g maltodextrin only)
…daily for 30-days prior to running a marathon 🏃♂️
Sleep and inflammatory status were assessed at baseline, plus before and after the marathon 🔍
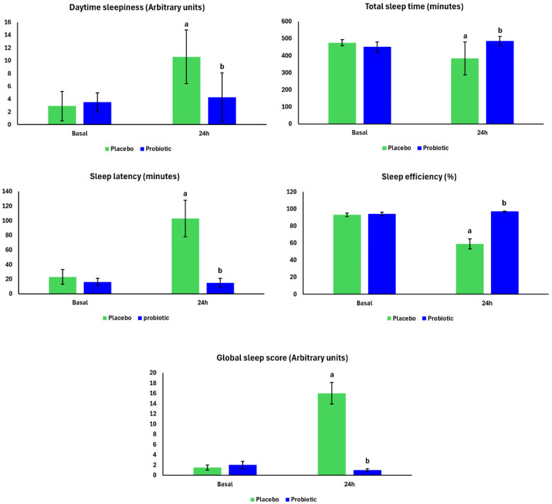
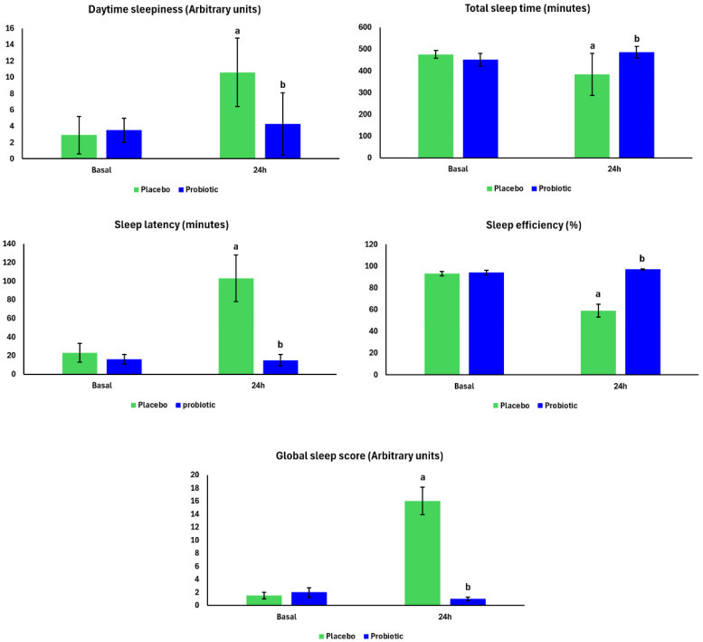
Key Findings
24hrs after the marathon in the placebo group…
Daytime sleepiness ⬆️
Sleep latency ⬆️
Negative sleep score ⬆️
Total sleep time ⬇️
Sleep efficiency ⬇️
Compared to placebo the probiotic group showed significantly less…
💤 Daytime sleepiness
⏱️ Sleep latency
📝 Negative sleep scores
Plus greater sleep time and sleep efficiency ✅
Specific markers of inflammation (LPS) were also lower post-marathon in the probiotic group vs baseline 🔥
But there were no significant differences in inflammatory markers between probiotic and placebo groups ❌
Conclusion
Probiotic use prior to long distance endurance events may support sleep quality and recovery post-race 💤✅
Further interesting evidence of the link between probiotics / gut health / sleep 🔍
Reference
https://pubmed.ncbi.nlm.nih.gov/41374052/
Performance Nutrition Digest is powered by Healthspan Elite ⚡️
Healthspan Elite is a science-led sports nutrition range developed in collaboration with leading experts to support athletic performance, recovery, and health.
Use code: TCDIGEST25 for 25% off at https://www.healthspanelite.co.uk/ 💪






